本研究展示了使用富含锂双(氟磺酰亚氨基)(LiFSI)电解质盐的单晶NCM640/人造石墨电池在工作电压≤4.1 V时能在100°C的高温下连续进行长时间的循环。在4.0V的上限截止电压下测试时,电池能在100°C下循环超过600圈和4300小时才达到原始容量的80%,并在85°C下以3.9V的上限截止电压能稳定循环1200圈,时间长达1年。这些高温下的寿命电池几乎不怎么产气,正极也没有过渡金属溶解,并且没有可检测到的铝集流体腐蚀。20至100°C的超高精密库仑计测量表明,这些电池的库仑效率和容量衰减可能遵循阿伦尼乌斯型关系。研究提出了利用这种关系从高温测量中预测环境温度下电池寿命的可能性。然而,也指出在最高温度下电池性能最有可能因电解液渗透软包电池密封件而降低。锂离子电池技术和使用方案的进步,如在低电压下循环,使锂离子电池的使用寿命可以延长到数十年,这非常有利将锂离子电池作为广泛使用的的可再生能源存储载体。从而将更多资源和新电池技术用于增加存储容量,而不是替换旧电池。然而,更长的使用寿命延长了研究和开发阶段的电池测试时间。使用高温可以加速锂离子电池单元的筛选。结合这些结果和宽温度范围的超高精度库仑测量(UHPC)可以帮助将缩短的高温使用寿命预测到环境温度,因为电池寿命和温度之间可能适用阿累尼乌斯类型的关系。如果电池的主要退化模式是由于负极上的化学反应将活性锂消耗到SEI中引起的锂库存损失,那么这些过程的温度依赖性可以通过阿累尼乌斯方程来近似:
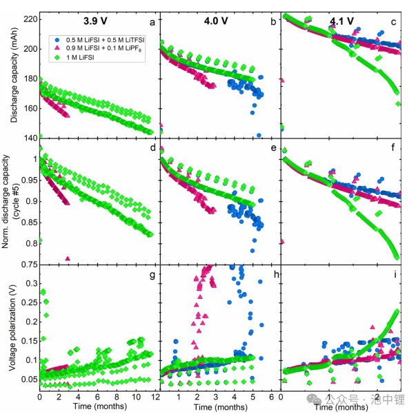
函数应该是线性的。然而,这种方法的准确性还有待确定,因为它假设在提升的温度下没有引入新的失效衰减机制。最近研究表明,使用二甲基-2,5-二氧六环己酸酯(DMOHC)、二乙基碳酸酯(DEC)和乙烯碳酸酯(EC)作为电解液溶剂,以及使用锂双(氟磺酰亚氨基)盐(LiFSI)作为盐的Li[NixMnyCo1−x−y]O2/石墨电池,在高达3.9 V的截止电压下运行时,在85°C循环时可以取得惊人的容量保持和最小的气体产生。虽然已有电池在高温下已经能循环相当长的时间了,我们仍需要能够在更加极端条件下循环的电池单元。这些极端温度下锂离子电池单元的耐久性使其在更热的气候下更好地运行,如为地下勘探或太空车辆供能,从而开辟潜在的应用。 图 1:展示了在100°C下循环的电池单元的绝对容量、归一化容量(与第5个循环相比较)和电压极化。根据上截止电压(UCV)的不同,电池在循环测试中的表现有所差异。使用EC:DEC (1:1)作为溶剂混合,LiFSI和LiTFSI作为盐,以及VC和DTD作为添加剂的电池,在循环至4.0V时能在600个周期后仍保持超过80%的原始容量。 图2:展示了在85°C下循环的电池单元的放电容量、归一化放电容量和电压极化。在较低温度下循环的电池显示出比100°C时更长的使用寿命。使用1 M LiFSI在3.9V下循环的电池在一年(约1200个周期)后仍然保持超过80%的容量。图3:展示了超高精度库仑测量(UHPC)的特征,包括放电容量和每小时的库仑效率、容量衰减和充电终点滑动的分数。放电容量随着温度的升高而增加,表明在较低温度下存在动力学限制。库仑效率随温度的升高而降低,显示出电池在高温下的性能衰减。 图4:以散点图的形式展示了图3中的特性,包括每小时的容量衰减、充电终点滑动和库仑效率。数据点在阿累尼乌斯图(对数y轴,1/T的x轴)上显示出容量衰减和库仑效率随温度的变化趋势,这可以用来估算在较低温度下的电池寿命。图5:展示了通过电池密封圈渗透的电解液损失率与温度的阿累尼乌斯类型关系。在100°C时,电解液损失率比室温高出100多倍,这突出了高温测试中一个新的影响电池性能的因素:溶剂损失。 图6:展示了UHPC电池在不同温度下循环后的气体体积测量结果,以及在100°C下进行CCCV循环的电池的照片。即使在100°C的高温下,电池在长时间循环后也显示出最小的气体产生,这表明所选的电解液和电极材料在高温下具有很好的稳定性。 图7:展示了在极端条件下循环的电池的负极上锰(Mn)和铝(Al)的量化微X射线荧光光谱(μXRF)数据。使用LiFSI作为电解液盐的电池即使在4.1V下循环失败,也几乎没有检测到Al的腐蚀,而使用纯LiTFSI的电池在这些条件下会立即因极端的Al腐蚀而失败。此外,循环至4.1V会导致Mn的溶解和在负极上的沉积,这表明正极受损,并与在4.1V下循环的电池性能显著下降有关。使用EC:DEC (1:1)作为溶剂混合、LiFSI和LiTFSI作为盐以及VC和DTD作为添加剂的单晶NMC640/石墨电池单元,在100°C高温下以C/3的电流密度在低于4.0V的上截止电压区间循环时,展现了卓越的循环寿命,能够在大约600圈或六个月的时间内保持超过80%的原始容量。在85°C下,类似的电池单元循环在3.9V的上截止电压区间循环时,展示了超过1200个周期或12个月的寿命,且在撰写文章时容量仍然保持在80%以上。这些电池单元没有出现使用LiFSI或LiTFSI作为电解液盐时所担心的铝腐蚀问题,并且在极端温度下产生的气体量很少。这种出色的高温性能使得电池能够在更热的气候条件下运行,并适用于采矿或太空探索等特定应用场景。此外,基于已经获得的循环数据,并假设电池退化机制与温度之间存在阿累尼乌斯类型的关系,预计这些电池在环境条件下的使用寿命将会非常长,可能长达数十年。