一、背景介绍
迄今为止,锂离子电池(LIB)已广泛应用于便携式电子设备和电动汽车,而且它们的普及率还在继续增长。然而,随着应用的增加,挑战也越来越多,尤其是当运行条件偏离室温时。虽然研究人员已经对LIB的高温性能和降解进行了广泛的研究,但低于零摄氏度的性能受到的关注较少。低温下LIB的容量损失在一定程度上受到电池内部液体电解质的控制。因此,对电解质进行改性有望解决LIB的低温失效问题。
【图1】用于改善低温性能的电解质工程策略示意图。
二、正文部分
1、成果简介
美国劳伦斯伯克利国家实验室GaoLiu团队近日发表了一篇综述文章,首先简要介绍了决定锂离子在0°C以下性能的各种过程。然后,概述了提高上述低温性能的电解质改性策略,包括各种添加剂、溶剂和锂盐。最后,总结了这些策略的优缺点,并就该领域的现状提供了一些见解,包括有前景的新型研究领域。该研究以题目为“Liquidelectrolyte development for low-temperature lithium-ionbatteries”的论文发表在国际顶级期刊《Energy& Environmental Science》上。
2、研究亮点
简要回顾了低温LIBs液体电解质的发展历史。首先总结了决定锂离子在低温(
3、图文导读
【图2】石墨‖LiNi0.80Co0.15Al0.05O2全电池中锂传输路径的概述。
锂离子电池的容量通常会随着温度的降低而降低。当温度恢复到正常条件时,这种容量损失通常是可逆的。另一方面,如果电池在低温下充电,也可能发生不可逆的容量损失,这是由于在负极表面沉积了锂金属。这两种类型的容量损失主要归因于低温下增加的内阻。这种内阻有许多组成部分,每个部分对应于锂离子在电池中不同的传输过程(图2)。
【图3】(a)EMC-EC的液固相图,(b)PC-EC的液固相图。
典型的LIB电解质有机碳酸酯溶剂包括碳酸亚乙酯(EC),其具有较大的介电常数,能够使Li+和PF6-强烈离解以形成高导电性电解液。LIB电导率普遍随温度降低,这主要归因于粘度增加,导致内阻上升。由于粘度与EC含量相关,因此应尽量减少这种溶剂。然而,由于EC在稳定SEI形成方面具有重要作用,这项工作具有挑战性。EC具有高熔点,容易凝固。当EC发生结晶时,它会降低剩余液相的电导率,甚至可能堵塞电极孔,导致容量降低。对于浓度>30mol%EC的EC/EMC体系,液相线点仍保持在0°C以上(图3a)。与线性碳酸酯相比,碳酸亚丙酯(PC)在作为助溶剂添加时能够更有效地抑制EC结晶(图3b)。因此,PC广泛用作一种低温溶剂。
【图4】(a)商业锂离子电池放电至3.87V时电解质体电阻(Rb)、SEI电阻(RSEI)、电荷转移电阻(Rct)以及Rct占总电阻的百分比(Rct%)随温度的变化。(b)Rct的Arrhenius曲线。
早期的阻抗研究显示,LIB过电位与充电状态强烈相关,特别是低于-20°C情况下(图4a)。阻抗谱显示,随着温度降低,中频区的电阻增加,这通常对应电荷转移电阻(Rct)。后续工作发现Rct和温度之间存在Arrhenius关系(图4b),并且电荷转移过程的活化能(Ea,ct)强烈依赖于电解质组成。综上所述,这些结果显示,Li+去溶剂化过程才是与电荷转移相关的限速步骤,而不是Li+跨越SEI的过程。
【图5】(a)石墨界面处Li+去溶剂化示意图。(b和c)Gr‖NCA电池的放电曲线。E9A是指在E9电解质中经历了化成循环的负极(贫EC配方),而E2C是指在E2中经历化成循环的正极(富含EC的配方)。
最近的研究工作也证明,Li+去溶剂化是低温下的限速过程(图5a)。2017年,太平洋西北国家实验室的一个团队系统地比较了Gr‖Gr、NCA‖NCA和LTO‖LTO对称电池中不同成分的碳酸盐电解质,从而消除了锂金属的影响。尽管在这些材料及其界面中化学结构不同,它们的中频EIS响应在-40°C时几乎相同,这意味着在每种情况下,离子去溶剂化都是限速过程。此外,当石墨负极在一种电解液中进行SEI化成过程,然后与另一种电解液重新组装成Gr‖NCA全电池时,-20℃时电池的放电容量与前一种电解液几乎没有相关性,但与后一种电解液密切相关(图5b和c)。
【图6】(a)锂离子电池阻抗图。(b)Li‖MCMB半电池阻抗图。
电解质的主要影响是界面组成。中间相可能在负极(SEI)或正极(CEI)表面上形成,它们对电池阻抗产生了体相传输电阻(RSEI)。然而,RSEI不太可能是低温下内阻的最大组成部分。事实上,一些早期的研究指出SEI电导率是低温LIB容量的主要限制因素,这是一个普遍的误解。那么,为什么这种误解会持续存在呢?一个可能的原因是RSEI和Rct可能难以区分。与中间相离子传输和电荷转移相关的阻抗通常有相当大的重叠,这可能导致它们在阻抗图中显示为一个半圆(图6a和b)。另一个可能的原因是,虽然RSEI不是总电阻的最大组成部分,但仍存在,从而显着影响性能。
【图7】(a)带有锂参比电极的MCMB‖LiNi0.8Co0.2O2电池在-20°C充电期间的电极/电池电压曲线。(b)MCMB‖LiNi0.8Co0.2O2电池在-20°C放电期间的电压-容量图。
在低于25°C或以高倍率对石墨负极进行充电会导致锂金属沉积,引发安全隐患和容量过早衰减。如果石墨颗粒相对于Li/Li+的电化学电势下降到0V以下,则在热力学上可能形成锂金属。当施加电流足够大时,负极电位可能会进一步下降到锂电镀状态(图7a)。这种过电位可能由多种因素引起,包括欧姆损耗以及传质和动力学限制。大量研究表明,在低温运行期间,石墨上也会发生镀锂。研究人员采用电化学方法检测低温下何时发生锂电镀(图7b),并对-30°C时LIB放电曲线进行dV/dQ分析。这些dV/dQ分析表明,低温充电后电池阻抗升高,这归因于锂金属与电解质反应生成的SEI。
【图8】(a)MCMB‖LiNi0.5Mn1.5O4全电池在市售电解质(BE)和含有三(三甲基甲硅烷基)亚磷酸酯和1,3-丙二醇环状硫酸盐添加剂(BE+MA+1wt% TMSP+1 wt%PCS)电解质中的循环性能。(b)在室温下0.5C充电后,上述电池在-20至-60°C的放电曲线。(c)亚磷酸盐和硫酸盐添加剂在该体系中的工作机制。
有机亚磷酸酯已作为LIB电解质添加剂用于降低可燃性和提高高压稳定性。特别是,亚磷酸三(三甲基甲硅烷基)酯,又名TMSP或TMSPi,由于其对金属氧化物的钝化作用而受到关注,因为其有助于形成稳定的正极电解质界面(CEI)层。TMSPi还参与石墨上SEI的形成,因为它与EC降解过程中形成的锂醇盐产生反应。最近的研究发现TMSPi可降低-40°C下Gr‖NCA全电池的过电位,从而提高容量。同年的另一篇论文显示,添加TMSPi能够使得5V级MCMB‖LiNi0.5Mn1.5O4电池在-60°C下运行,且没有容量衰减(图8a和b)。除了钝化正极外,该添加剂还能够显着稳定负极SEI,防止锂金属沉积并减少微裂纹的形成(图8c)。
【图9】(a)在标准电解质(1M LiPF6in EC/EMC/PC 4:7:1 w/w)中添加1wt% LiPO2F2后,Gr‖NMC523电池在低温下的放电容量保持率。(b和c)完全充电的正极和负极半电池在0°C时的阻抗。
尽管已经开发了许多不同的锂盐作为LIB添加剂,但很少有人专门研究它们在低温下的作用。其中,二氟磷酸锂(LiPO2F2)可以改变正负极的界面化学特性。在标准电解质(1M LiPF6in EC/EMC/PC 4:7:1 w/w)中仅添加1wt% LiPO2F2,就可以将Gr‖NMC523电池在-30°C下的相对容量保持率从9.6%提高到57.9%(图9)。最近,另外一些研究表明,这种添加剂在石墨和NMC表面上都充当界面形成剂,大大降低了SEI和CEI电阻。
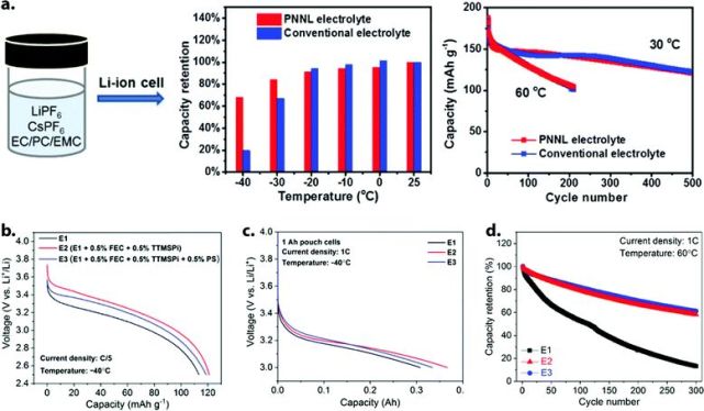
【图10】(a)在低温(Gr‖NMC111软包电池)和室温(Gr‖NCA纽扣电池)下少量(0.05M)CsPF6添加剂对锂离子全电池性能的影响。(b)Gr‖NCA纽扣电池在-40°C和C/5倍率下,三种含有CsPF6添加剂的电解质中的放电电压曲线,其中E1=1M LiPF6in EC/PC/EMC 1:1:8 w/w+0.05 MCsPF6。(c)含有E1、E2或E3电解质的Gr‖NMC111软包电池在-40°C下的1C放电曲线。电解液E2含有0.5wt%的FEC和TMSPi,但不含1,3-丙磺酸内酯(PS)。(d)在60°C,1C恒流循环期间,含有E1、E2或E3的Gr‖NCA纽扣电池的容量保持率。电解液E3中存在0.5wt% PS。
用于改善低温性能的添加剂之一是CsPF6(图10)。Cs+的作用是由于它在引导SEI形成方面的作用:铯离子在其溶剂壳中只能容纳1-2个EC分子,而且[Cs(EC)1-2]+的还原电位高于[Li(EC)3-4]+的还原电位。这导致SEI由EC的分解产物主导,即使在具有竞争性溶剂或低EC含量的电解质中也是如此。在优化溶剂和添加剂组成后,0.05M CsPF6电解质组装的1Ah软包电池(Gr‖NMC111),其在-18°C下保持0.69Ah的放电容量,在-40°C下保持0.37Ah的放电容量,均在1C倍率下。相同的电池在25°C时能够循环1000次,容量保持率>85%,而使用相同电解质的Gr‖NCA纽扣电池在60°C下循环300次后容量保持率>60%。
【图11】(a)含有10wt% PC和30wt% EC(E6)、20wt% EC(E7)或10wt% EC(E8)的电解质的差示扫描量热法结果,其余为EMC。(b)不同温度下具有不同EC含量的10%PC电解质电导率。(c)Gr‖NCA纽扣电池在不同温度下的C/5放电容量随EC含量的变化。
碳酸丙烯酯 (PC)是一种极性非质子溶剂(ε=65),具有宽的液体温度范围(-49至242°C)。由于PC的熔点和粘度优于EC,添加少量PC可以提高低温下的电导率并显着降低结晶倾向。在2017年的一项研究中,李等人彻底比较了含有不同比例EC、PC和EMC且具有恒定盐浓度(1.0M LiPF6和0.05MCsPF6)的电解质热特性和离子电导率。发现添加PC显着降低了液相线温度和凝固点,对于PC:EC:EMC=1:1:8的电解质,分别为-58.4°C和-67.2°C(图11a)。此外,在低于-20°C的温度下,电导率随着EC含量的降低而均匀增加,在-40°C下,1:1:8混合物的电导率可高达1mS cm-1(图11b)。这种相对简单的三元混合物能够使Gr‖NCA纽扣电池和Gr‖NMC111软包电池在-40°C和C/5条件下的容量保持率>65%(图11c)。
【图12】(a)高氟化FEC基电解质的冰点。(b)几种电解质电导率随温度的变化。含有高氟电解质和标准电解质的Li‖NCA半电池(c)在不同温度下的循环性能,以及(d)在-20°C,C/3下的循环性能。
Fan等人最近报道了一种使用FEC作为主要溶剂成分的高氟含量电解液。作者在FEC:DEC=1:3的混合物中溶解了高浓度的氟化盐LiFSI或LiBETI。然后将浓缩的电解质进一步稀释到惰性氟化溶剂中,这种溶剂通常不能溶解锂盐,但可与预溶剂化的混合物混溶。由此产生的局部高浓电解质在-120°C以下保持液态(图12a),达到了惊人的低温极限。它们的电导率对温度不敏感,从-80°C到25°C仅变化两个数量级(10-5-10-3Scm-1)(图12b)。此外,由于盐与(配位)溶剂分子的比例很高,Li+的平均溶剂化能显着降低。总之,这种电解质使得Li‖NCA电池能够在-95至70°C内运行(图12c和d)。
【图13】(a)MCMB‖LixNiyCo1−yO2软包电池的串联电阻随温度的变化,该软包电池电解质为1M LiPF6 inEC/EMC/各种酯=1:3:1。(b和c)在标准电解质和1M LiBOB in GBL:F-EPE=7:3电解质中,Gr‖NMC111纽扣电池在不同温度下的0.1C放电曲线。
除了碳酸酯类之外,酯类以及它们的环状衍生物(称为内酯类)也可以作为低温锂离子电池的电解质溶剂。其中,丙酸甲酯(MP)是最有效的(图13a),把它添加在1M LiPF6in EC/EMC/MP=2:6:2电解质中后,Gr|LiNi0.8Co0.2O2电池的放电容量可在-60°C下超过5Ah。另外,环状内酯与线性酯类不同,它们具有较高的极性,足以部分或完全替代EC/PC。研究最多的是γ-丁内酯(GBL),其在室温下具有42的相对介电常数,约为EC的一半,但仍然足够大,使得Li+盐有效电离。它还能在更宽的范围内保持液态,并且比EC具有更低的粘度。然而,与其他酯一样,它无法在石墨上形成钝化SEI。然而,最近Shi等人在GBL与惰性氢氟醚(F-EPE)的混合物中溶解了1M 双(草酸根)硼酸锂(LiBOB)作为电解质。这种电解质使得Gr‖NMC111电池能够在宽的温度范围内(-40至60°C)稳定循环,在-40°C下能提供74mAh g-1的比容量,而传统电解质做不到(图13b和c)。
【图14】(a)完全充电的锂离子电池在-20°C下的阻抗谱,电解质为1MLiPF6/LiBF4in EC/DMC/DEC=1:1:1 w/w。(b)使用混合LiDFOB/LiBF4电解质与标准电解质的Li‖LiFePO4电池在-20°C下的初始充放电曲线,放电速率为0.5C。(c)-20°C下,Gr|LiNi0.5Mn1.5O4电池在含有不同比例LiDFOB与LiBF4电解质中的循环性能。
LiBF4在电解质中的离子电导率和SEI特性较差,但在零度以下,LiBF4可以实现比LiPF6更好的电池性能。当使用LiBF4时,全电池Rct显着降低(图14a)。然而,由于电解质溶液中形成的SEI性能较差,LiBF4并没有得到广泛普及。另一方面,双(氧代)硼酸锂(LiBOB)具有优异的SEI形成能力。然而,LiBOB的溶解度和导电性比LiPF6更差,限制了它的应用。在二氟(氧代)硼酸锂(LiDFOB)中可以避免上述两个问题,它具有LiBOB的SEI形成特性,以及适当的溶解度和离子解离特性。使用LiDFOB和LiBF4组成的混合盐可以最大限度地发挥这两种化合物在低温下的优势。例如,李等人研究了一种EC/DMS/EMC=1:1:3v/v电解液,其中LiDFOB和LiBF4总量为0.9M。在半电池测试中发现这种电解质与石墨和LiFePO4兼容,在-20°C时,其容量比标准电解质高得多(图14b)。Zhou和同事对在-20至60°C内具有不同DFOB/BF4比的电解质进行了详细研究。纯LiDFOB普遍适用室温和更高温度,在Gr‖LMNO电池中产生最好的电导率和放电容量,但这种趋势在-20°C时完全相反,LiDFOB和LiBF4混合物显示出更好的特性(图14c)。在0.8M LiDFOB和0.2M LiBF4比例下达到了最优的性能,因为即使是少量的LiBF4也可以在-20°C下将电池Rct从482.6Ω降低到346.3Ω,而不会影响LiDFOB的钝化效果。因此,含有这种混合物的电池在所有温度下都表现出优异的容量保持率。
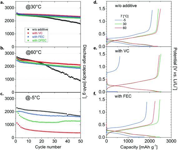
【图15】(a-c)含有各种电解质的Si纳米片粉末半电池在不同温度下的循环性能。电解质为1M LiPF6in EC/DEC=1:1 v/v,具有10wt%的添加剂。(d-f)上述电池在不同温度下第10次循环的充放电曲线。
硅负极具有较高的容量,有望取代石墨负极,然而它在低温下的性能研究较少。春田等人比较了几种常见电解质添加剂在不同温度下对Si纳米片负极的影响(图15),发现10wt% FEC在-5°C下和60°C下都有较高的容量和循环稳定性。而10wt% VC在高温下的容量稍好一些,但低温下的容量则会大大降低。
4、总结和展望
这篇综述首先总结了与液体电解质相关的阻抗来源以及它们在低温性能中所起的作用。低温下LIB运行的最大限制因素是电荷转移电阻,而这与电解质/活性材料界面处的Li+去溶剂化相关。通过电解质工程能够解决这些问题。电解质添加剂通常有助于形成坚固的SEI/CEI层,降低Li+传输阻力。低温下最简单但最有效的溶剂组分之一是碳酸丙烯酯(PC),因为它熔点较低(-49°C)。最后,使用其他锂盐,如LiBF4,LiBOB和LiDFOB,也能够将低温下的电荷转移电阻大大降低。总的来说,通过对电解质添加剂、溶剂、锂盐进行改性和不同的组合有望进一步提升低温LIB性能,使其能够应用于一些极端条件如航空航天,深海探测等领域。
声明: 本网站所发布文章,均来自于互联网,不代表本站观点,如有侵权,请联系删除。
上一篇:锂电池海洋运输要求




能量密度:125-160Wh/kg
充放电能力:5-10C(20-80%DOD)
温度范围:-40℃—65℃
自耗电:≤3%/月
过充电、过放电、针刺、 挤压、短路、
撞击、高温、枪击时电池不燃烧、爆炸。
动力电池循环寿命不低于2000次,
80%容量保持率;
电池管理系统可靠、稳定、适应性 强,
符合国军标要求。