自1991年商业化以来,经过30年的快速发展,锂离子电池凭借其在商用二次电池中最高的能量密度以及高功率密度,长循环寿命等优势,在如今的储能领域处于主导地位。如今,商用锂离子电池的室温能量密度相比最初商业化时已经翻了三倍,但其在低温下性能骤降的问题仍然突出,这无疑限制了锂电池在高海拔和高纬度地区的应用,也是国防和太空应用的主要障碍之一。一旦外界温度降低至-20 ℃乃至更低,电解液的离子电导率迅速下降甚至电解液出现冻结,界面电荷转移动力学愈发缓慢,Li+在SEI和电极内部传输更加困难,大多数基于碳酸乙烯酯(EC)电解液的锂离子电池会出现极大的能量/功率密度损失。此外,在低温充电过程中容易发生镀锂,也会带来一些安全问题。
针对这一系列问题,浙江大学的范修林研究员与马里兰大学帕克分校的王春生教授合作,应邀在国际知名期刊Advanced Materials上发表题为“Critical review on low-temperature Li-ion/metal batteries”的综述文章。该文章对导致锂离子电池低温性能劣化的关键因素进行了全面分析,梳理了电解液,电极及其界面在低温下面临的独特挑战,探索了提高低温性能的可能的有效策略,以期最大限度地扩大下一代高能锂离子/金属电池的工作温度范围。第一作者为张楠博士生和邓涛博士。
图1.(a)锂离子电池在低温下广泛应用,(b)基于石墨负极和硅碳负极的商用锂离子电池与商用铅酸,镍氢电池的低温性能对比,(c)锂离子/金属电池的研究进展,包括性能对比与使用的策略,(d)锂离子/金属电池在低温下面临的挑战。
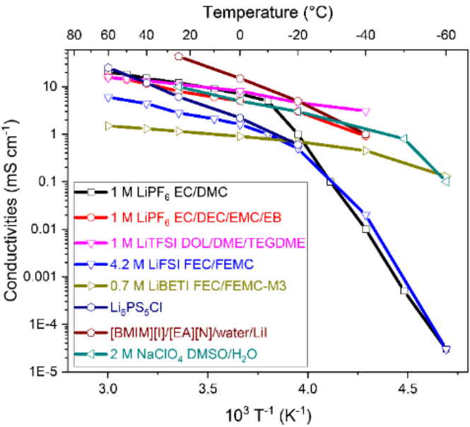
内容表述 机理探究之路由浅入深 对于电解液来说,保证良好的低温性能的首要前提是在低温下保持液态,因此更宽的工作温度范围也对电解液提出了额外的要求:(1)液程足够宽(如-80至60 ℃),(2)在低温下达到至少0.1 mS cm-1的离子电导率,(3)形成的SEI/CEI在工作温度范围内保持稳定。 低温下锂离子电池在界面以及电极内的动力学问题最为关键。最初的研究认为低温下Li+在石墨内部的扩散系数过低是导致锂离子电池低温性能差的关键因素,但此机理难以解释石墨负极锂离子电池低温充电与放电之间的相对差异。后续的研究表明,相对于其他阻抗部分,电荷转移阻抗(Rct)的增加在低温下最为显著。张升水老师等人进一步指出Rct阻抗与电池的充放电状态密切相关,放电状态的Rct要远高于其他状态,这从宏观上可以解释为何锂离子电池在低温下容易放电而难以充电。许武老师等人进一步通过对LTO(无SEI),石墨,NCA对称电池的阻抗分析巧妙证明了脱溶剂能是电荷转移阻抗的最主要部分,有力推动了后续低温电解液的工作。 图2.(a)-(d)低温下锂离子电池界面转移阻抗(Rct)的增加占主导,(e)电荷转移过程的阻抗主要包含脱溶剂过程与Li+穿过SEI的过程带来的阻抗,(f)-(g)相同电解液下不同电极(NCA,石墨,LTO)对称电池表现出相近的阻抗,而在不同碳酸酯基电解液阻抗表现出巨大差异。 对于石墨负极锂离子电池而言,镀锂问题的严重性也不容忽视。石墨较低的嵌锂电位和低温充电过程中较大的过电位使得锂沉积和锂嵌入的竞争反应更加偏向前者。沉积在石墨表面的锂会与电解液发生严重的副反应,消耗电池中有限的锂形成“死锂”,不再贡献容量。另一方面,这部分锂容易形成锂枝晶,导致安全隐患。 锂离子电池低温性能的提升需要综合考虑电解质、电极、电池结构等各个方面。为了最大限度地发挥锂离子电池的低温性能,具有宽液程和高离子电导率的电解质是先决条件,且应具有低的锂离子脱溶剂能和低阻抗成膜能力。 低温电解液的设计 具有高介电常数和良好钝化石墨负极能力的EC长期以来被认为是商用锂离子电池电解液不可或缺的组成部分。但EC较高的熔点(36.4 ℃)无疑限制了电解液的液程范围。线性碳酸酯(DMC, DEC, EMC等)的引入可以有效降低电解液的熔点,其与EC的组合今天仍是商用电解液的主要成分。在对碳酸酯基电解液优化的基础上,一系列具有极低熔点的羧酸酯的引入进一步降低了电解液的熔点。其中链长较长的羧酸酯的成膜能力较好,但对低温电导率有不利的影响。电解液的溶剂对离子电导率,液程与SEI成膜能力至关重要。总体来说,没有单独的溶剂可以满足上述对低温电池的所有要求,但通过“鸡尾酒策略”混合溶剂可以探索最大化电池低温性能。 作为电解液的重要组成部分,盐的选择对电解液的低温性能起着至关重要的作用。含有1 M最常用锂盐LiPF6的碳酸酯基电解液的室温离子电导率可以达到10 mS cm-1以上,但随着温度的降低电导率也会骤降。LiBF4和LiBOB分别凭借其在电解液中较高的低温离子电导率和优秀的成膜能力在低温电解液中被广泛研究,而LiDFOB则是结合了LiBF4和LiBOB各自的优点,其电解液表现出较好的低温电化学性能。锂盐的阴离子对电池的低温性能的影响主要体现在:i) 阴离子往往会在一定条件下主导的SEI性能,ii) 锂离子、阴离子基团以及溶剂分子三者之间的相互作用决定低温解离度,以及iii) 阴离子可能带来其他的副反应。未来对新的低温锂盐的探索或者对现有盐的混合优化应平衡这三个特性,以确保低界面阻抗、高离子电导率和良好的界面稳定性。 添加剂的使用是提高锂离子电池低温性能最便捷和最经济的方式。一系列硫系添加剂,如硫酸乙烯酯(DTD),烯丙基硫醚(AS),亚硫酸二甲酯(DMS)等被报道具有良好的成膜能力,产生的SEI膜在低温下具有较低的阻抗,可以有效改善锂离子电池的低温性能,部分添加剂可以抑制PC基电解液的共嵌入反应,从而发挥出PC较低熔点(-48.8℃)的优势。部分氟化物(FEC,LiPO2F2等)和硅氧烷类(PDMS-based)添加剂也可以有效改善锂离子电池的低温电化学性能。 图3.(a)DMS添加剂可以有效改善MCMB||NCM811的低温电化学性能。(b)TMSP和PCS添加剂协同改善MCMB负极低温性能的示意图 锂金属负极具有最高的理论容量(3860 mAh g-1)以及最低的电位(-3.04 V相对于标准氢电极),是设计高能量密度电池的理想负极。因此,近些年来对低温锂电的研究逐渐偏向锂金属电池。孟颖老师等人研究常温下为气态的氟烃基电解液的低温性能,该液化气电解液在-60 ℃的极低温下可以使LCO正极发挥出~80 mAh g-1的容量,后续乙腈(AN)的引入进一步改善了该电解液的溶盐能力。全氟化电解液和醚基电解液也可以有效改善低温锂金属电池性能。 图4.(a)液化气电解液在室温与-60 ℃下的CV曲线,(b)全氟化电解液有效改善高压锂金属电池的低温性能,(c)低溶剂化能的醚基电解液可以抑制低温下锂枝晶的生长 如前文所述,脱溶剂能被认为是限制锂离子/金属电池最关键的因素,因此一系列聚焦于降低脱溶剂能或者避免脱溶剂能的电解液/电池设计近期大量报道。局部高浓电解液在保留高浓电解液卓越性能的基础上有效避免了如高粘度,高熔点的劣势,同时具有更低的脱溶剂化能,在低温锂金属电池中表现出独特优势。同时,该策略也对改善低温石墨负极电极也非常有效。此外,据报道在独特设计的双离子电池中(通过特定的有机电极或者双石墨电极电池中),脱溶剂能可以被完全避免,展现出优秀的低温性能。 图5.(a)局部高浓电解液的独特溶剂化结构,(b)局部高浓电解液具有较低的脱溶剂化能,(c)-(d)基于有机正负极的双离子电池避免脱溶剂能的机理与低温性能,(e)基于双石墨电极的双离子电池避免脱溶剂能的工作机理。 除了对传统有机溶剂基的电解液的低温性能探索,水系电解液,离子液体基电解液和固态电解质近年来也有广泛的进展,而足够的低温离子电导率是进一步研究的基础,图6梳理了部分具有代表性的电解质的离子电导率。 图6.典型电解液的离子电导率与温度的关系 低温电极的优化 锂离子/金属电池的正负极决定了电池的理论容量和工作电压,对电极的优化也是改善低温锂电性能必不可少的一环。对于石墨负极而言,轻度氧化,金属涂层以及独特3D结构的设计可以有效改善低温下锂离子在石墨负极中的传输,从而改善其低温性能。除石墨外,金属和金属氧化物负极也可以通过降低粒径,结构设计等方式改善其低温性能。尽管正极材料往往不是低温锂电性能的最大掣肘,针对正极的低温优化仍可有效改善低温锂电的整体性能。由于机理的不同,固溶体型正极(如NCM)相比相变型正极(如LFP)往往具有更好的低温性能。但改善不同正极的低温性能的策略是类似的,如:控制粒径,设计涂层,杂原子掺杂,3D结构设计等方式均被报道可以实现对其低温性能的改良。除此之外,利用新型的正负极反应机理同时辅助电解液方面的创新,有可能可以开发出性能优异的宽温域电池体系,例如复旦大学夏永姚老师和董晓丽老师等人基于有机电极设计的新型电池是少有的在极低温条件下可以充电的电池。 低温电池结构的创新 除了优化电池的化学成分或化学体系外,设计新型电池结构以利用电池自热实现锂电的低温应用也是有前途的方案之一。王朝阳老师等人通过在常规电池中加入金属箔作为激活电极,可以在低温下迅速加热电池,在少量消耗电池容量的代价下实现低温下的正常使用。利用光能自热的空气电池也被报道可以在-73℃下工作。 图7.(a)-(b)自热电池的的示意图和机理图,(c)多层设计的自热电池可以有效均匀化温度分布。 总结与展望 通过对低温锂离子/金属电池的最新研究进展(包括潜在机制和有前景的策略)的全面的回顾,可以发现四个关键因素限制了锂电在低温下的性能:(1)电解质润湿性和离子电导率的下降;(2)缓慢的界面反应动力学,包括脱溶剂化过程,Li+在SEI中的传输以及电荷转移过程;(3)低温下Li+在电极中的扩散缓慢;(4)负极表面镀锂。针对这一系列问题,应当同时(i)合理调整溶剂、锂盐和添加剂以提高低温离子电导率,降低脱溶剂化能并形成富含无机物的薄SEI;(ii)掺杂、表面涂层以及设计电极结构等以促进Li+扩散;(iii)抑制负极上的锂沉积和锂枝晶生长;(iv)其他如自加热或电池配置优化,可以改善锂离子/电池的低温性能。 除此之外,数十年来对低温锂电的探索已经有了显著进展,但仍面临一些科学/工程方面的挑战,因此,进一步的探索有待电池工作者的努力:(1)一些先进的原位表征方法和理论计算可能有助于获得多种界面过程的原子级认知,且应特别注意去溶剂化过程;(2)探索先进的低温电解液在商业化中最为有效,低温电解液应具有较高的低温离子电导率、低脱溶剂化能以降低电荷转移阻抗并形成富含无机物的SEI;(3)溶剂化的Li+作为一个整体参与反应而不进行脱溶剂化,也是最大化低温性能的一个有前途的方向;(4)电池结构的工程创新也是提高低温性能的可行的方式,值得关注。随着电解液的优化、电极的设计以及电芯结构的创新,锂电池的工作温度范围得到了一定程度的拓宽。近期的报道中,锂离子/金属电池可以在低(-20到-40 ℃)乃至极低(如<-60 °C)温度条件下满足应用要求,尽管可能牺牲了一些其他性能。我们相信,随着技术的进步,低温锂电市场将蓬勃发展。
声明: 本网站所发布文章,均来自于互联网,不代表本站观点,如有侵权,请联系删除。
下一篇:低温锂离子电池的综述




能量密度:125-160Wh/kg
充放电能力:5-10C(20-80%DOD)
温度范围:-40℃—65℃
自耗电:≤3%/月
过充电、过放电、针刺、 挤压、短路、
撞击、高温、枪击时电池不燃烧、爆炸。
动力电池循环寿命不低于2000次,
80%容量保持率;
电池管理系统可靠、稳定、适应性 强,
符合国军标要求。