在时间和频率域中,开发了多种阻抗估计方法,以精确追踪电池阻抗的变化。这些方法不仅能够监测电池的即时状态,还能预测电池的长期性能,对于无人机等高能量应用尤为重要。扩展卡尔曼滤波器(EKF)作为一种流行的估计算法,已被应用于无人机电池管理中。EKF能够处理非线性系统,通过实时更新电池状态估计,提高了电池状态监测的精确度,从而优化无人机的飞行性能和安全性。
总结而言,BMS的发展对于提升电池性能和安全性至关重要。EIS和EKF的结合应用,不仅提高了电池状态监测的准确性,也为电池健康管理和故障诊断提供了强有力的工具。
1.简介
1.1、电池应用与BMS需求背景
众多领域(如电动汽车、智能电网、无人机及智能家居设备等)对电池的依赖促使电池发展成为关键,但电池性能会随时间因众多参数影响而衰退,所以高效电池管理系统(BMS)的开发至关重要,其可避免电池损坏、延长寿命并优化使用。
1.2、电化学阻抗测量意义与传统方法局限
电化学阻抗可反映电池的动态行为,与电池历史、极化电流、荷电状态(SoC)、健康状态(SoH)和内部温度等相关,是获取电池状态信息的重要途径,可用于估计电池内部温度、SoC和SoH。电化学阻抗谱(EIS)是测量阻抗的权威方法,属于主动识别类方法,基于线性和时不变假设,通过施加单频正弦波电流并测量电压变化来估计阻抗,虽精度高但存在诸多局限。其设备成本高(需先进电子发生器产生不同频率正弦波或多正弦信号)、难以嵌入系统、测量效率低(每次仅能估计一个频率阻抗,如需新估计需重复整个测量过程),难以跟踪阻抗随时间的变化,尤其在运行条件变化大时。
1.3、本研究目标与方法概述
本研究旨在开发能脱离传统假设的阻抗估计方法,不仅要准确估计预定频率范围内阻抗,还要能跟踪其时间变化。为此开发了时域(基于递归最小二乘RLS及无限和有限冲激响应滤波器)和频域(基于傅里叶变换和局部平均策略)的阻抗估计方法,并先在静态情况下比较,再应用于无人机电池。在无人机应用中,由于电池状态变化快、飞行时间短且对设备体积和重量要求严格,精确跟踪电池阻抗变化尤为重要。研究将在被动(利用无人机飞行自然电流曲线)和主动(添加宽带信号)两种情况下进行阻抗识别,最后通过扩展卡尔曼滤波器利用估计的阻抗评估无人机电池的SoC、剩余飞行时间和距离等指标。
1.4、研究流程概述
后续章节将按以下顺序展开研究:第2节描述时域和频域的阻抗估计方法开发;第3节在静态情况下用实际电池测试不同方法并与EIS方法比较;第4节将频域方法应用于无人机飞行的被动和主动识别情况;第5节利用被动情况下估计的阻抗通过扩展卡尔曼滤波器计算无人机相关指标。
2.阻抗估计方法
2.1、研究目标与方法分类
在开发能准确估计且跟踪阻抗时间变化的进化阻抗估计器,方法分为时域方法和频域方法。
2.2、时域方法
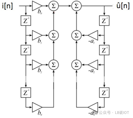
基于RLS算法的滤波器原理:时域方法基于递归最小二乘(RLS)滤波器进行参数识别。RLS算法通过反馈回路优化冲激响应系数,以最小化测量电压与基于电流计算的估计电压之间的二次误差,具有收敛速度快和准确性高的优点,但计算成本高(计算成本与系数数量的平方成正比)且需要矩阵求逆,不利于在嵌入式系统中实现。
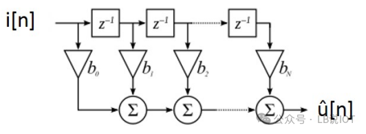
FIR滤波器特点:有限冲激响应(FIR)滤波器基于输入电流信号计算估计输出电压信号,其响应基于有限数量的输入值,无需反馈,对量化误差较不敏感,稳定性好,复杂度低于同阶无限冲激响应(IIR)滤波器,且可通过系数序列对称设计实现线性相位。
IIR滤波器特点:无限冲激响应(IIR)滤波器因存在反馈,其稳定性取决于极点在复平面的位置,选择性高于同阶FIR滤波器,在相同选择性下所需系数更少,内存和计算需求更低,因此在实现方面更受青睐。
2.3、频域方法
基于傅里叶变换和局部平均策略原理:频域方法是非参数识别方法,受宽带EIS原理启发,将全局平均改为局部平均,以跟踪阻抗的时间变化。该方法基于电池在测量期间可视为线性时不变(LTI)系统的假设,通过电压和电流的互功率谱密度与电流功率谱密度之比定义电化学阻抗。
线性和时不变假设检验:通过平方谱相干性检验系统是否可视为LTI系统,相干性接近1时可估计阻抗,接近0时则不能。相干性是一个统计量,取值范围在[0,1]之间,由电压和电流的功率谱密度计算得出。
算法实现步骤与特点:数据分块后用快速傅里叶变换(FFT)算法计算离散傅里叶变换,通过递归方程实现指数平均策略(含遗忘因子)持续更新阻抗和相干性估计。遗忘因子控制收敛时间和最终估计误差之间的权衡,较小的遗忘因子可提高跟踪性能,但会增加残余变化;较大的遗忘因子则相反。频域方法计算成本低于时域方法(主要成本来自FFT算法,计算成本与用于计算电流和电压离散傅里叶变换的点数nfft的对数成正比),但需要更多内存。
2.4、方法开发目的与后续比较
开发时域和频域方法是为了创建进化阻抗估计器,下一步将在实际电池上比较这些方法与参考方法(EIS)的准确性。
3. 静态情况下阻抗估计方法比较
3.1、实验设置与方法测试
在本部分,使用容量为2.2Ah的锂聚合物(LiPo)电池无人机对三种进化阻抗估计器(时域的IIR和FIR滤波器方法、频域方法)进行测试,并与电化学阻抗谱(EIS)参考方法比较。实验在25°C恒温箱中进行,电池先充满电(25°C,以(C/2)恒流充电至4.2V,再恒压充电1小时),然后以 -0.5A放电(对应4.4C放电率)。为应用和比较频域和时域方法,连续施加相同的0.25s滤波伪随机二进制序列(PRBS)块,该块以 -0.5A为中心,其幅度设为250mA以满足电池线性假设,经120Hz数字低通滤波后重复36次,总测量时长9s,电池电流和电压以2500Hz同步采样,研究频率带宽为20 - 90Hz(受仪器限制)。通过电位计VMP3(Bio - Logic SAS,20A/20V)和EC - Lab软件(信号幅度200mA,每十倍频10次对数间隔测量,每个频率3次测量)测量EIS参考阻抗。每次放电10%SoC后,在选定极化电流下记录经典EIS。
3.2、结果分析与方法比较
滤波器系数优化与转换:应用优化算法确定IIR和FIR滤波器在多个SoC下准确阻抗估计所需的系数数量,RLS算法遗忘因子设为1,测量噪声初始协方差设为10^5。IIR滤波器所需系数比FIR滤波器少(见表1)。为与EIS方法比较,时域阻抗估计转换为频域阻抗估计,计算IIR和FIR滤波器的频率响应并与其他方法比较。
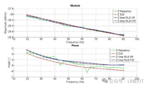
阻抗估计准确性评估:频域方法选择遗忘因子为0.9(对应80%收敛时间为3.56s,小于总信号时长9s)。在50%SoC下的波特图(图4)显示,三种阻抗估计器的准确性方面,时域方法彼此接近,频域方法相位估计虽稍嘈杂但更接近参考值,所有方法均遵循EIS方法趋势。在多个SoC值(从100%到50%)下与EIS比较,模块和相位的根均方误差(在带宽和5个SoC值上平均)分别低于1%和10%,三种方法在模块阻抗估计上结果相似,可在静态情况下估计阻抗。EIS参考方法与其他方法的差异可能源于残余噪声、生成PRBS频谱质量的不完善以及电池对信号激励的反应。频域方法具有计算量少的优势,且包含相干性概念,可确保每个频率的估计质量。
3.3、下一步研究方向
下一步将在非静态情况下(即无人机飞行中)应用频域方法,分别在主动和被动识别情况下估计无人机电池阻抗的变化。
4.无人机飞行中的阻抗估计
4.1、频域方法在无人机飞行中的测试目标
在本部分,对频域方法在非静态情况下(无人机飞行中)进行测试,要求该方法不仅能准确估计阻抗,还能跟踪其随时间的变化。
4.2、被动阻抗估计
实验测量与设备连接:算法在实际电池上验证后,在无人机飞行中应用频域方法。使用多分析仪记录仪(OROS 36,24位分辨率)通过四根同轴电缆连接到无人机电池,测量电池的电流和电压曲线。三根电缆获取电池三个电芯的电压(浮动直流连接),另一根电缆通过测量与电池正极串联的50mΩ电阻上的电压降获取供应电机的电流图像,飞行中电池表面温度升高不到2°C。
图5.无人机实验装置。
自然信号特点与处理:无人机飞行自然电流曲线在起飞(前10s)、飞行(中间)和降落(最后15s)阶段明显不同,其激发的自然信号频率无法控制。输入和输出信号以50Hz及其奇数倍滤波以消除环境干扰,根据平方谱相干性(式8)确定阻抗估计更新,相干性阈值设为0.99,只有相干性超过阈值的阻抗估计才被保留,这是频域方法的一大优势。
图6.无人机飞行的自然电流(顶部)和电压(底部)轮廓。
图7.不同遗忘因子的光谱相干光谱图(顶部为=0.6,底部为=0.95)。
遗忘因子影响与阻抗估计更新:频域方法的遗忘因子对阻抗估计至关重要。较大遗忘因子对短扰动敏感,较小遗忘因子对长扰动敏感,需权衡选择。以遗忘因子0.9为例(对应80%收敛时间为3.56s),自然无人机信号为宽带信号,60 - 300Hz频率的阻抗估计较频繁(超过一半时间),可跟踪该频段阻抗变化,但更新带宽取决于使用情况无法控制。在约280s飞行中,SoC变化约55%,可明显看到阻抗在模块和相位上的变化,频域方法在被动情况下可实现阻抗估计和跟踪,无需额外信号、电子电路及增加重量,适用于无人机监测等应用。
4.3、主动阻抗估计
实验设置与信号处理:以自然无人机电流曲线为基础,先对电流进行归一化以符合放大器(20A/20V,与电位计VMP3及Ec - lab软件相关)限制,然后以5Hz截止频率滤波并以20Hz欠采样。电池置于25°C恒温箱中,先充满电(25°C,3A恒流至4.2V,再恒压30分钟),然后用修改后的无人机曲线放电,飞行部分信号切断。在15A极化电流下,先进行一次EIS测量(幅度250mA,10 - 100Hz每频率2次测量,每十倍频10次对数间隔),然后重复79次0.25s的PRBS块(幅度250mA,采样频率2500Hz,对应20 - 90Hz带宽),最后再进行一次EIS测量,两次EIS和PRBS块导致SoC变化约10%。
图10.无人机活动配置文件。
阻抗估计结果与跟踪:遗忘因子仍选0.9,估计阻抗在两次EIS测量值之间,放电过程中从接近第一次EIS值逐渐靠近第二次EIS值,表明进化方法可直接跟踪放电期间阻抗变化。
4.4、被动与主动阻抗估计的特点与应用选择
被动和主动阻抗估计均可准确估计和跟踪阻抗,两者互补。被动方法仅用自然曲线,无需额外信号、成本和重量,但研究频率不受控;主动方法用户可选择添加信号和研究频率,但需特定电子设备,增加成本和重量。对于需研究特定频率的应用,优先选择主动阻抗估计;对于成本和重量关键且自然曲线为宽带(如无人机应用)的情况,被动阻抗估计更合适。被动估计的阻抗将用于下一节扩展卡尔曼滤波器估计无人机的SoC和其他指标。
5.基于阻抗估计的无人机指标计算
5.1、阻抗估计用于计算无人机指标的原理
电化学阻抗可用于估计电池的多个指标,如荷电状态(SoC)、健康状态(SoH)和内部温度等。本部分利用进化阻抗估计通过电池的SoC计算无人机特定指标(剩余飞行时间和距离)。算法流程为:先通过频域方法估计阻抗,然后将其用于扩展卡尔曼滤波器(EKF)持续计算SoC,最后用估计的SoC计算剩余飞行时间和距离。
5.2、基于扩展卡尔曼滤波器的SoC估计
扩展卡尔曼滤波器原理:卡尔曼滤波器用于从噪声测量中估计动态线性系统的状态,扩展卡尔曼滤波器(EKF)可处理电池等非线性系统,但计算成本较高,且误差协方差(估计精度)不一定收敛。本研究中使用的EKF基于先前多项工作,在无人机应用中,其状态和测量方程分别如下:
SoC估计结果与验证:将EKF应用于自然无人机电流曲线估计SoC,图13展示了SoC估计结果。为验证EKF估计器,开发了经典库仑计数法,两种技术之间的误差始终低于1%。飞行导致约55%的SoC变化,相当于电池在280s内提供约16A的恒定电流。
5.3、剩余飞行时间和距离的估计
计算方法与参数:估计SoC后,根据式
计算剩余飞行时间(分钟)和距离(千米)。其中SoC_min为用户选择的SoC最小值(此处设为20%),无人机最大速度为10m.s^-1},ik为信号持续时间最后10s的平均电流。
计算结果与分析:图14显示了剩余飞行时间和距离的计算结果。飞行约4.5分钟后,剩余飞行时间约为2分钟,此时无人机只能飞行约1千米,总飞行时长约6.5分钟,小于数据手册中的量级。这是因为测量时无人机增加了重量(测量用同轴电缆和皮带使其重量从约0.8kg增加到1.15kg),导致剩余飞行时间与数据手册有差距。图中起飞和降落阶段明显,此时无人机功率使用较少,在图中表现为起始和结束阶段的台阶。
图14.剩余飞行时间和距离随时间变化的估计值。
5.4、研究成果总结
通过被动进化阻抗估计,借助扩展卡尔曼滤波器计算无人机的宝贵指标,在超过50%SoC的放电过程中,用户可持续跟踪无人机的主要指标。
6.总结
本研究旨在利用进化阻抗方法实时估计电池状态指标(如SoC),为此开发并比较了时域(基于RLS算法与IIR或FIR滤波器)和频域(基于离散傅里叶变换和指数平均)的阻抗估计方法。在静态情况下测试表明,各方法均能准确估计阻抗,频域方法具有计算量少和包含相干性概念(可确保估计质量)的优势。
无人机飞行中的阻抗估计应用:进化阻抗估计应用于无人机飞行中跟踪电池阻抗变化,频域方法在被动(利用自然电流曲线,无需额外信号,频率取决于曲线)和主动(需添加信号,用户可选择带宽)情况下均适用,两者互补,应根据应用需求选择。例如,研究特定频率时选主动方法,注重重量、成本且自然曲线频率丰富(如无人机)时选被动方法。
基于阻抗估计的指标计算与应用:阻抗用于估计SoC等指标,本研究通过扩展卡尔曼滤波器利用估计的阻抗持续计算无人机的剩余飞行时间和距离等关键参数,在超过50%SoC的放电过程中可有效跟踪。
声明: 本网站所发布文章,均来自于互联网,不代表本站观点,如有侵权,请联系删除。
上一篇:电池管理系统BMS开发解决方案




能量密度:125-160Wh/kg
充放电能力:5-10C(20-80%DOD)
温度范围:-40℃—65℃
自耗电:≤3%/月
过充电、过放电、针刺、 挤压、短路、
撞击、高温、枪击时电池不燃烧、爆炸。
动力电池循环寿命不低于2000次,
80%容量保持率;
电池管理系统可靠、稳定、适应性 强,
符合国军标要求。