摘 要 锂离子电池因其能量密度高、使用寿命长和无记忆效应等优势逐渐延伸至了低温环境领域,然而锂离子电池在低温环境下存在容量快速衰减、倍率性能差等问题。本文通过对近期相关文献的探讨,对现有锂离子电池测试标准进行了差异化分析,重点分析了不同测试标准对锂离子电池低温测试条件以及技术要求的差异。对于锂离子电池低温性能提升策略,主要从电解液设计及电极材料设计的角度进行了介绍;在电解液设计方面,重点介绍了电解液添加剂设计、共溶剂设计、锂盐改性设计以及锂盐与溶剂复合改性设计等策略;在电极材料设计方面,主要介绍了纳米化、掺杂、包覆、掺杂/包覆复合改性、异质结构设计等策略。综合分析表明,结合现有锂离子电池测试标准要求,采用电解液改性设计结合电极材料结构设计的策略,通过提升电解液在低温条件下的离子电导率与增强电极材料在低温条件下的电荷转移能力,有望克服锂离子电池在低温环境下容量衰减快、倍率性能差等问题。锂离子电池以其能量密度高、循环寿命长、自放电率低、环境污染小和无记忆效应等优点,已成为电动汽车、便携式电子设备和电化学储能等领域最常用的储能设备之一。作为提供电能的核心零部件,锂离子电池在不同环境下的性能和使用寿命受到的制约愈加明显,尤其是应用于高纬度、高海拔和超低温地区的供电设备。一些研究表明,锂离子电池在低温环境中的倍率性能以及循环寿命大幅降低,特别是在-40 ℃下的容量保持率仅有室温下的12%。因此,开发在极端条件下具有高能量密度的可充电锂电池具有重大意义。目前制约锂离子电池低温性能的主要因素如下:①低温条件下电池内部电解液黏度增大、离子电导率显著降低,甚至在-30 ℃下出现电解液冻结现象,阻碍锂离子在正负极之间的穿梭;②充电时内阻增大,锂离子嵌入动力学减缓,容易产生析锂现象,析出的金属锂与电解液发生副反应,导致电极/电解质处内膜增厚,甚至在负极表面形成大量的锂枝晶或“死锂”,从而引发电池内部短路以及电池热失控等安全问题;③锂离子脱/嵌过程受限,库仑效率降低,充电和放电难度加大,进一步降低锂离子电池的寿命。为了促进锂离子电池行业的高质量发展,国内外相关机构也对电池的低温环境适应性制定了相应的评估标准,如国家标准化管理委员会颁布的GB/T 36276—2023《电力储能用锂离子电池》和GB/T 31486—2015《电动汽车用动力蓄电池电性能要求及试验方法》以及国际电工委员会颁布的IEC 62620:2014《含碱性或其他非酸性电解质的二次电池和蓄电池组 工业用二次锂电池和蓄电池组》、IEC 61960-3:2017《碱性或其他非酸性电解质的蓄电池和蓄电池组便携式密封蓄电池和蓄电池组》第3部分:方形或圆柱形锂电池及锂电池组等。现行标准对低温环境中锂离子电池的能量效率要求越来越严苛,因此,调研了不同标准中锂离子电池在低温下的环境适应性要求,如表1所示。在GB/T 36276—2018《电力储能用锂离子电池》中对低温充放电性能试验要求电池在(5±2) ℃环境下进行充放电,并要求电池单体和模块的能量效率不小于75%。然而,在GB/T 36276—2023《电力储能用锂离子电池》修订版中删除了低温充放电性能试验要求,新增了低温环境适应性试验,标准要求电池首先在(-30±2) ℃环境中搁置24 h,然后将电池置于(25±2) ℃环境中进行充放电,要求电池单体能量效率不小于93%,电池模块能量效率不小于92%。新版标准的发布对于电池低温性能的要求更为严格,给低温锂离子电池的发展设置了更高的门槛,有利于推动锂离子电池技术革新。表1 不同标准中对锂离子电池在低温环境下的适应性要求
电解液是锂离子电池的重要组成部分,其主要作用是为锂离子在正负极之间的传输提供可逆通道,并参与电池内部的电化学反应。然而,在低温环境中电解液会表现出离子电导率下降、黏度增加、电解液凝固、电解液和隔膜相容性降低、形成过厚的SEI膜等问题,从而严重影响了锂离子电池的使用寿命。因此,选用适宜的电解液以及优化电解液的组分,从根本上改善电极材料的界面化学状态是满足锂离子电池低温性能的关键。锂离子电池在工作过程中离子输运对温度的依赖性较高,现有研究表明在低于0 ℃的环境中,锂离子在电极和电解液中的扩散系数降低,导致其低温性能显著下降。针对这一问题,清华大学邱新平教授团队提出了在丙酮(DMK)中添加具有双氟磺酰亚胺锂(LiFSI)的电解液设计策略。主要实验结果表明,在DMK电解质中,SSIP的百分比随温度的降低而增加,可以有效提高电解液的低温离子电导率。同时,适当添加VC(碳酸亚乙烯酯)和FEC(碳酸氟乙烯酯)后,DMK基电解液仍表现出较高的离子电导率,即使在-40 ℃条件下,离子电导率也大于10 mS/cm。该方法在一定程度上提高了低温环境中锂离子的电导率,减弱了锂离子电池对温度的依赖性,对低温离子电池用电解液的设计有一定的指导意义。低温环境中电解液的黏度会增加,大部分电解液在-30 ℃的超低温下容易引起固化,这会显著降低电解液与电解材料之间相容性,从而进一步影响锂离子在电解液以及电极/电解液界面的传输,国内外学者通常通过降低电解液的黏度来提升锂离子在低温下的迁移能力。如武汉大学方永进教授等人[8]通过引入低黏度的异丁腈作为共溶剂来调节溶剂和锂离子之间的亲和力,所开发的电解液在-70 ℃下表现出较高的电导率(1.152 mS/cm),搭载该电解液的电池在室温下的库仑效率高达99.9%,在-40 ℃下其放电容量是室温容量的75.8%。目前市面上主流的电解液是由溶解在有机碳酸盐中的LiPF6盐组成的无水溶液,溶剂混合物主要由两种或多种有机碳酸酯组成,如碳酸亚乙酯(EC)、碳酸甲乙酯(EMC)、碳酸二甲酯(DMC)、碳酸二乙酯(DEC)和碳酸丙烯酯(PC)[7]。其中,EC因其能在碳材料表面形成均匀的SEI膜,作为溶剂的主要成分被广泛应用于电解液中。然而EC表现出来的高黏度以及高熔点,使其在低温环境中的应用受到了极大的限制。通常而言,随着工作环境温度的降低,SEI膜会变厚,当锂离子通过SEI膜时,它需要克服更高的能量势垒,极大地限制了锂离子的传输。同时,在电池充放电过程中,在低温下会形成相对致密和不均匀的SEI膜,从而消耗大量的活性锂离子,降低锂离子的脱嵌效率。通过向电解液中加入添加剂、共溶剂、离子液体等组分,使电极表面在低温条件下也能形成薄且均匀的SEI膜,能在一定程度上提高锂离子电池的低温循环性能。Plichta和Behl[3]通过向电解液中加入较低凝固点的共溶剂EMC(-55 ℃)来增加EC、DMC电解液的液相线范围,使电解液在-40 ℃的超低温环境中仍能正常工作。湖南大学刘继磊教授等人[9]通过引入低ε溶剂主导配位来设计电解液的溶剂化结构,以丁酸乙酯(EB)作为氟化溶剂,开发一系列EB类似物作为共溶剂的高性能电解质。这些电解质具有不同的氟化程度或氟化位点,而氟是强吸电子元素,会削弱高介电常数溶剂之间的配位作用。改性后的电解质形成了由DEC主导的溶剂化结构,削弱了整体配位作用,提高低温环境下Li+迁移率。所开发的电解液(1 mol/L LiPF6+EC∶PC∶DEC∶EMC∶共溶剂体积比为2∶1∶1.5∶4∶1.5,共溶剂为EB及其氟类化合物)在-90 ℃下具有较高的离子电导率(1.46 mS/cm),在-110 ℃下仍能保持液态。采用该电解液搭配4.5 V石墨基软包电池在-10 ℃下经过200次循环后,在没有出现锂枝晶的情况下仍然具有高达98%的容量保持率,在-70 ℃时还能保持约60%的室温放电容量。
图1 通过溶剂改性设计低温电解液锂盐的溶解度和解离度在一定程度上影响了电解液的离子导电率,因此通过锂盐改性的方法提升锂离子电池的低温性能也成为当前研究重点。LiPF6具有良好的化学稳定性以及电化学稳定性,在有机溶剂中具有高导电性,且不会腐蚀集流体等优势,被公认是最实用的锂盐。然而,现有研究表明含有LiPF6盐的锂离子电池[PC∶EC∶EMC=1∶1∶3 (质量比)]在温度降到-10 ℃以下时,石墨负极和正极之间的电荷转移阻抗(Rct)显著增加。因此,为了改善锂盐在低温条件下的电导率,江西理工大学钟盛文等人在碱性电解液(1 mol/L LiPF6+DMC/EMC/PC/FEC)中加入二氟磷酸锂(LiPO2F2),通过改变LiPO2F2的浓度来提高锂离子电池的低温电化学性能。通过在25 ℃以及-40 ℃的对比试验发现,在相同的电流密度下,电解液在添加了质量分数2% LiPO2F2后,其电池放电比容量显著提高(图2)。在-40 ℃环境中,改性后的电解液在50次循环后放电比容量为81.97 mAh/g,在相同温度和电流密度下,与未改性的电解液相比,电池放电比容量提高了145.6%。
图2 锂盐改性对放电比容量及CEI膜形貌的影响锂盐和溶剂都是电解液的重要组成部分,对两者进行改性均会对电池的低温性能有一定的影响,因此,对锂盐和溶剂同时进行改性引起了国内外研究者的广泛关注。如天津大学罗加严教授等人提出了一种具有强溶剂和双锂盐的电解液设计策略,高度离解的二氟硫代磺酰亚胺锂(LiFSI)在二甲基亚砜(DMS)溶剂中具有良好的介电常数和熔点,实现了锂离子的快速传导,同时二氟草酸硼酸离子(DFOB–)与锂离子之间的高亲和力,使得锂离子在较宽的温度范围也能顺利实现去溶剂化过程(图3)。搭载了该电解液的1 Ah石墨||LiCoO2(2 mAh/cm2)软包电池在-20 ℃下以2C电流密度进行850次循环充放电,达到80%的容量保持率,在-50 ℃下以0.1C电流密度进行充放电循环,充放电效率高达86%。
图3 双盐电解质的设计原理和主流低温电解质面临的局限性的示意图锂离子电池负极材料主要包括碳基材料、硅基材料、钛酸锂、合金类材料及其他新型材料。良好的负极材料需要具备嵌锂、脱锂电位低,可逆容量高,电化学循环性能好,在电解液中稳定等条件。然而在低温环境下,负极材料中锂离子的扩散动力学缓慢,限制了其在材料表面/内部的迁移和反应速度,导致表面析锂或锂枝晶生长,造成放电性能下降甚至产生安全隐患。此外,低温还可能引起负极晶格结构发生畸变,影响锂离子嵌入/脱嵌过程,导致电池的容量和循环稳定性降低。为了提高锂离子电池负极材料的低温性能,研究人员做了大量的工作。如Park等人研究了五种不同类型的石墨负极之后,发现与天然石墨相比,人造石墨样品在低温下表现出更高的可逆容量。主要研究结果表明,通过对人造石墨负极进行改性能更好地提高锂离子电池的低温性能。中国科学院物理研究所黄学杰等人将纳米锡嵌入膨胀石墨中的Sn/EG复合材料,该复合材料呈现出具有石墨烯/纳米锡/石墨烯交替堆叠结构,在-20 ℃环境中的充电容量可达200 mAh/g(图4)。Lu等人通过静电纺丝和热还原工艺合成了一种氮掺杂组成的碳纳米纤维(CNF)复合材料,所设计的复合材料具有较大的表面积和较高的氮掺杂浓度,其作为负极材料具有较高的比容量与突出的倍率性能(1 A/g电流密度下,比容量高达754 mAh/g,5 A/g电密度下,比容量高达447 mAh/g)。Xu等人采用多孔石墨合成了纳米片(PGN)和碳纳米管(CNT)组成的复合负极,碳纳米管可以防止石墨二次团聚,多孔石墨纳米片上的通孔可以有效地缩短锂离子扩散路径。在PGN/CNT复合材料中,占主导地位的中孔和少量微孔促进了锂离子的快速传输,这使得锂离子电池具有较好的倍率和低温性能。总体而言,目前对负极材料性能调控的策略主要包括:①表面包覆;②纳米化设计;③合金化;④掺杂改性;⑤多孔结构设计;⑥复合改性。
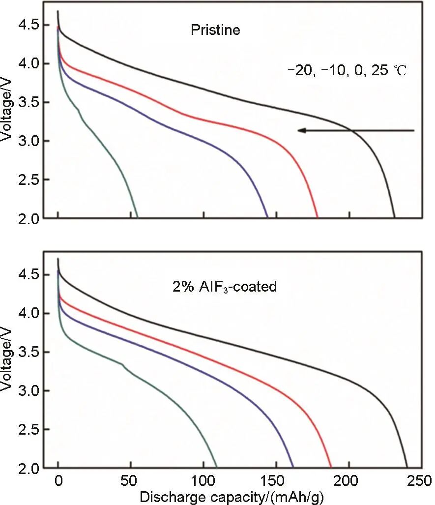
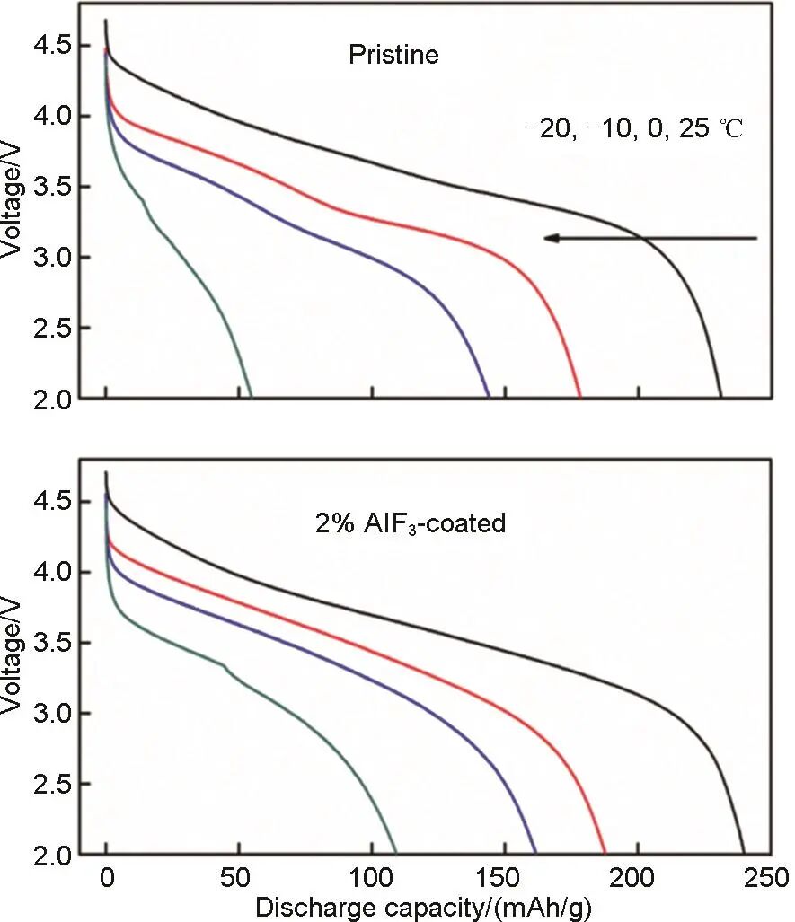
图4 Sn/EG复合材料的合成过程的示意图传统的锂离子电池正极材料是含锂化合物,可分为三种类型,即正交晶系橄榄石结构的LiFePO4、六方层状结构的LiCoO2和立方尖晶石相的LiMn2O4。正极材料是锂离子电池的核心部分,其性能的好坏直接决定了电池的容量。低温下正极材料容量衰减由3个主要因素造成:①锂源损耗,导致容量下降;②电化学阻抗增大,电化学反应动力学下降,特别是电荷转移电阻增大;③晶格收缩,限制锂离子在晶格内的固相扩散。一般可以通过对正极材料进行表面包覆、掺杂和降低粒径等方式改性,目的是降低界面电荷的转移阻力,减少副反应,使正极材料在低温下脱嵌锂过程更为有利。吉林大学魏英进团队提出了一种用Li3V2(PO4)3正极材料进行包覆改性的策略,该包覆层不仅有效减缓了高倍率工况下的副反应,还改善了电极在低温下的界面动力学。所研制的Li3V2(PO4)3正极材料包覆改性后的复合正极材料在50C的超高倍率下能够实现稳定循环,同时-20 ℃和-40 ℃下的容量保持率分别高达89.1%和75.7%。Dong等人采用低温液相法制备了纳米级Nb2O5,并将其用作负极材料来研究锂离子电池的低温性能。所组装的电池在室温下表现出优异的倍率性能,且在-75 ℃的超低温下具有高倍率(高达5C)和长循环寿命,其主要原因是Nb2O5负极具有卓越的赝电容特性。Lv等人提出了锑(Sb)掺杂制备LiNi0.91Co0.06Al0.03O2(Sb-NCA91)正极的策略,其中Sb掺杂改变了正极材料的一次颗粒的形态并实现了一次颗粒的径向排列。这种独特的微观结构设计可以分散相变引起的各向异性机械力集中,减缓低温循环过程中一次颗粒的收缩和膨胀,从而抑制微裂纹的形成和结构劣化。主要实验结果表明,Sb改性的正极材料在25 ℃、2.7~4.5 V、1C电流密度下循环200次后表现出良好的容量保持率(84%),在-20 ℃下循环100次后容量保持率从61%提升到了88%。Zhao等人制备了AlF3包覆Li1.2Ni0.13Co0.13Mn0.54O2的材料并对其进行电学性能研究,发现在Li1.2Ni0.13Co0.13Mn0.54O2颗粒表面包覆致密的纳米级AlF3,可提供锂离子快速传输通道,减少了电解质与活性物质之间的副反应。与原始样品Li1.2Ni0.13Co0.13Mn0.54O2相比,经过2% AlF3包覆后的样品表现出更高的放电容量和初始库仑效率(86.7%)。同时,包覆2% AlF3的样品在-20 ℃下放电容量为109.3 mAh/g,远高于原始样品的放电容量(54.9 mAh/g)(图5)。
图5 原始的和2%AlF3涂覆的Li1.2Ni0.13Co0.13Mn0.54O2在不同温度下的放电曲线(0.1C)本文结合行业发展动态,从标准化的角度总结分析了低温锂离子电池测试标准的发展现状,详细分析了国内外主流的电池测试标准对电池低温性能测试要求的差异,新国标GB/T 36276—2023《电力储能用锂离子电池》要求电池单体能量效率不小于93%,电池模块能量效率不小于92%,远高于旧国标中单体和模块要求的能量效率不小于75%。同时,结合锂离子电池的结构特性,阐明了低温环境下电解液、电极材料的失效机理,并从结构设计与性能优化方面提出了改善锂离子电池低温性能的建议如下:①添加共溶剂、锂盐改性、锂盐的溶剂复合的策略可有效提高低温环境下Li+的迁移率,实现Li+在电解质中快速传输;②电极材料改性主要通过电极材料包覆、异价元素掺杂或纳米化等方式来改善电池在低温环境下的容量和循环寿命。本文从多角度对低温环境下锂离子电池进行讨论和分析,有望为其工程化应用与标准化提供参考。