近日,天目湖先进储能技术研究院有限公司自主研发出一种可在零下100摄氏度条件下使用的锂电池,突破了目前锂电池使用的低温局限。
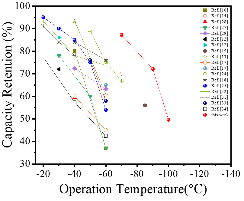
正极、负极、电解液和隔膜是锂电池的基本组成要素。研究显示,电解液是锂电池得以在低温环境下正常工作的关键一环。传统锂电池使用的是碳酸脂类电解液,电池在零下20摄氏度时性能只有其最优水平的60%左右。因此,目前市面上电动汽车、电动自行车及其他电动工具都很难在低温环境下正常运行。在此背景下,让锂电池在低温环境下正常工作是研究人员长期以来关注的重点。 2021年5月,天目湖先进储能技术研究院为满足客户需求,开始着手超低温锂电池的研发工作。为了解决低温环境会降低锂离子活性这一难点问题,研究人员进行了系列探索,最终通过引入一款新的电解液溶剂,使其与原先的碳酸脂类溶剂形成共熔体,成功研发出可在零下100摄氏度条件下使用的锂电池。 该研究院电解质实验室高级经理盖建丽表示,此前,文献里有记载或报道的锂电池可工作的最低温度是零下70摄氏度,但放电量是非常微弱的。此次研发出的低温锂电池在零下100摄氏度的放电量仍然可以达到常温放电量的60%,取得了重大突破,这对科考、深空、深海等特殊领域的发展将具有较深远的影响。 对于如何进一步突破锂电池使用的低温局限,盖建丽目标清晰,她说:“除了攻克电解液的问题,接下来,我们还将对电池的正负极和隔膜等材料进行提档升级。” 超低温电池的成功研发,也展现了天目湖先进储能技术研究院强大的研发实力。该研究院2017年成立以来,便聚焦国家长远目标和重大需求,开展战略性、前瞻性、基础性的关键核心技术研究,推进科技成果转移转化。目前,研究院在固态电池、钠离子电池、纳米硅负极材料等技术研发领域已处于国际领先水平,牵头和参与了多项储能领域国家和省级重点研发计划项目,形成从前瞻技术开发、高水平测试表征、失效分析、模拟仿真到产业孵化的全链条发展模式,服务国内外行业客户超过400家。
声明: 本网站所发布文章,均来自于互联网,不代表本站观点,如有侵权,请联系删除。
上一篇:超低温锂离子电池的研究进展




能量密度:125-160Wh/kg
充放电能力:5-10C(20-80%DOD)
温度范围:-40℃—65℃
自耗电:≤3%/月
过充电、过放电、针刺、 挤压、短路、
撞击、高温、枪击时电池不燃烧、爆炸。
动力电池循环寿命不低于2000次,
80%容量保持率;
电池管理系统可靠、稳定、适应性 强,
符合国军标要求。