锂离子电池工作原理
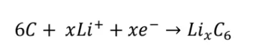
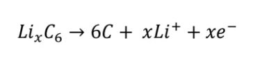
锂离子电池由四个部分组成,包括由负极粒子组成的阳极;由正极粒子组成的阴极;电极之间的隔膜(这是一种多孔的绝缘体,在允许电解液通过时,可以防止电极之间的直接电接触);在正极和负极之间运输离子(从而产生电荷)的锂离子电解质。在电极的外部边界有连接到外部电路的电流收集器(电荷收集器)。下图为充放电时锂离子电池的原理图。流出正极的电流驱动锂离子从负极(正极)粒子中萃取到电解液中,通过多孔隔膜(扩散和平流)进入正极(阴极)并插入正极(阴极)。电子的电荷从负极粒子移动到负极集电器,从正极集电器移动到正极粒子。 锂电池通常选择碳素相关材料作为电池的负极,这种材料的表面含有许多微小的孔洞,锂电池在进行充电过程中,锂离子穿越媒介电解液后进入到碳素相关材料的微小孔洞之中,锂离子的数量越多,则说明电池的运行状态越好,即电池的 SOH越高。相反,在放电过程中,锂离子从孔洞中出来,经过电解液再返回到锂电池正极,回到正极的锂离子越多也就说明电池的运行状态良好,即电池的 SOH 数值越高。 当外部电源给电池进行充电时,正极上的电子经由外部电路循环达到负极,而锂离子则由正极进入电解液,通过隔膜上的小洞后达到负极,然后与原先到达负极上的电子相结合。 正极所发生反应如下: 负极所发生反应如下: 当电池进行放电过程时,与充电过程相反,负极上的电子经由外部电路循环到达正极,而锂离子则由负极进入电解液,再次通过隔膜上的小洞后达到正极,然后与原先到达正极的电子相结合。 正极所发生反应如下: 负极所发生反应如下:01 充电过程
02 放电过程
声明: 本网站所发布文章,均来自于互联网,不代表本站观点,如有侵权,请联系删除。
下一篇:锂离子电池构成及工作原理介绍




能量密度:125-160Wh/kg
充放电能力:5-10C(20-80%DOD)
温度范围:-40℃—65℃
自耗电:≤3%/月
过充电、过放电、针刺、 挤压、短路、
撞击、高温、枪击时电池不燃烧、爆炸。
动力电池循环寿命不低于2000次,
80%容量保持率;
电池管理系统可靠、稳定、适应性 强,
符合国军标要求。