本文通过实验证明,通过自加热电池设计和使用含有LiFSI的电解质,168.4 Wh/kg磷酸铁锂/石墨电池可以在较宽的温度范围内工作。在60°C时实现了6100小时循环寿命的出色高温稳定性。通过自加热,即使在-50°C的超低温度下,电池也可以分别提供90.2 Wh/kg和1227 W/kg的能量和功率密度,而没有自加热的电池几乎没有性能。加热过程耗时164秒,温度每升高一度仅消耗0.161%的电池能量。在所有环境温度下都能以6C速率快速充电。总预热和充电时间不到12分钟,电池完成了2500次6C充电循环,仍保持81.3%的容量。该研究以题目为“Lithium Iron Phosphate Superbattery for Mass-Market Electric Vehicles”的论文发表在材料领域国际顶级期刊《ACS Energy Letters》。
【图1】高温循环稳定性。相对于循环时间的电池容量保持率;相对于时间平方根的容量损失;(c)随周期时间变化的标准化直流内阻(DCIR)。
图1显示了不同温度下电池的循环稳定性。电池以C/3速率充电和放电,在每次充电和放电步骤之间有10分钟的休息步骤。如图1a所示,电池的循环寿命随着环境温度的升高而降低,FSI的容量保持率通常优于PF6。在60℃下,FSI可以循环6100小时(991次循环),然后达到20%的容量损失,而PF6仅存活2800小时(462次循环),不到FSI的一半。在75°C时,FSI的循环寿命约为1900小时,而PF6的循环寿命不到300小时。即使在PF6完全失效的90°C的极高温度下,FSI也可以循环约450小时。FSI优异的循环稳定性主要归功于LiFSI的高热稳定性,它抑制了电解质分解。对于所有容量保持曲线,它们首先显示稳定阶段,然后在某一点,容量偏离虚线并更快下降。图1b显示了容量损失与时间平方根的关系图。很容易看出,容量损失曲线最初几乎是线性的,但后来偏离了线性部分。图1c中的DCIR结果表明,偏差几乎与电阻的加速增加同时开始。第一阶段的容量衰减主要是由于SEI的增长,在此期间电解质继续与石墨反应,SEI变厚,容量损失相对于t1/2几乎是线性的。电解液与石墨阳极的持续反应会导致电解液流失和气体积聚,积聚的SEI会导致更高的电阻,从而导致镀锂,所有这些都会加速容量损失,容量保持曲线切换到第二阶段。总的来说,通过用LiFSI代替LiPF6,高温下的循环稳定性大大提高。
【图2】自加热LFP电池:(a)不同温度下电池的直流内阻(DCIR);自加热电池的示意性配置;(C)从−50 °C自加热期间电池电流和电压的变化;(d)镍箔和电池表面在从−50 °C自加热过程中的温度变化;(e)在从不同环境温度自加热期间的电池温度演变;(f)不同温度下自加热电池电能的能耗百分比。
通过快速自加热实现强大的低温性能。低温对所有电池都是一个巨大的挑战,因为传质和电化学反应的动力学较慢,导致电阻大大增加。测量了不同温度下FSI和PF6的DCIRs,如图2a所示。在室温(RT)为22°C时,FSI和PF6的DCIRs相互接近,分别为11.53和13.33 ohm·cm2。随着温度升高,由于电化学和传输过程的动力学增强,两种电池都显示出DCIR降低。相反,当温度低于室温时,两个电池的DCIRs呈指数增加。DCIR的结果基本上符合阿伦尼乌斯关系。FSI的DCIR低于PF6,这与文献中报告的LiFSI电解质的离子电导率较高一致,这归因于其较高的解离度和较低的粘度。由于DCIR较大,在零下温度下运行的电池功率和能量输出会严重下降,这限制了其在电动汽车中的应用。SHB可以通过使用电池能量进行快速有效的内部加热来解决这个问题。图2b示出了SHB的示意图。镍箔嵌入锂离子电池的电极堆中,用于快速内部加热。镍箔的一端焊接到负极片上,另一端延伸到电池外部作为激活(ACT)片,在正极片和ACT片之间有一个开关。开关关闭时,电池用作传统的双端电池。当开关接通时,电流将从正极流向并通过镍箔,最终流向负极。镍箔通过焦耳加热产生的热量迅速传递到电池,使电池迅速升温。图2c显示了自加热过程中电池电流和电压的变化,图2d显示了自加热过程中Ni箔和电池外表面的温度。可以看出,当开关接通时,电流开始流过电池,电池电压下降。随着电流的流动,温度升高,这反过来又由于电池的DCIR降低而增加了电流,电池被加热得更快。当电池温度上升到10°C的截止温度时,开关关闭,没有电流。自加热后的15秒内,电池内部达到热平衡,电池表面温度升至约15°C。当比较不同环境温度(Tamb)下的加热电流时,可以看到加热电流随着Tamb的降低而降低。在-10°C时,FSI和PF6的平均加热电流彼此接近(约4.4°C);-20°C时,加热电流略有下降。在-30°C时,平均加热电流降至约4°C,PF6的加热电流明显变小至FSI。在-40°C时,加热电流出现骤降,在-50°C时也出现了同样的情况。加热电流下降导致加热速率下降,如图2e所示。在-10°C、-20°C和-30°C时,两个电池的加热速率接近(分别约为0.66、0.65和0.62°C/s)。当环境温度降至-40°C时,FSI的加热速率(0.58°C/s)明显高于PF6的加热速率(0.54°C/s),当环境温度降至-50°C时,差距扩大至0.06°C/s(即FSI为0.40°C/s,PF6为0.34°C/s)。加热速率通常与加热电流和DCIR一致。当谈到自加热过程中电池温度每升高一度的能耗时,它似乎并不随Tamb而变化。对于FSI来说,遵循节能原则,无论环境温度如何,每摄氏度消耗的电池能量约为0.161%。对于PF6,能耗率约为0.167% C–1。这表明电池在箱内隔热良好,并且由于短暂的自加热过程,热量损失非常少。对于FSI来说,将电池从-50°C加热到15°C只需要大约164 s和10.44%的电池能量。这种快速节能的自加热技术使电池即使在商用电解质的情况下也可以在-50°C下工作。
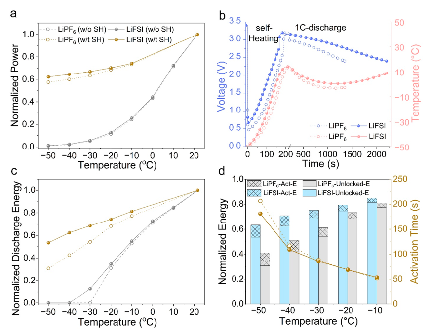
【图3】通过自加热提高功率和能量。(a)不同温度下的电池功率标准化为具有和不具有自加热的室温功率;(b)电池自加热和放电期间的电压和温度曲线;(c)在有和没有自加热的情况下,不同温度下的标准化放电能量;(d)不同环境温度下细胞的激活能、解锁能和激活(加热+静止)时间。
低温下惊人的动力和能量。在自加热的帮助下,实现了功率和能量的显著提升。图3a显示了电池在室温下的归一化功率。可以看出,在没有自加热的情况下,对于两个电池来说,输送的功率随着温度的降低而急剧下降。当在输送功率之前应用自加热时,输送的功率大大增加。对于这两种电池,由于自加热后DCIR大大降低,自加热的功率在-30°C时提高了约20倍,在-50°C时提高了约200倍。高功率允许在环境温度低于零度时快速启动电动汽车。除了动力之外,能量输出的提升也是通过自加热实现的。图3c显示了在1C放电速率下,电池在22℃下的放电能量标准化后的放电能量。没有自加热时,放电能量曲线急剧下降,两种电池在-20°C时仅下降约30%。当温度下降到-30°C时,PF6突然下降到几乎为0,因为电池电压在放电时立即达到2.4 V限值,FSI在-40°C时也发生了同样的情况。这对电动汽车来说是灾难性的,因为续航里程将大大减少,甚至完全无法运行。幸运的是,当引入自加热时,电池在放电前首先利用自身能量加热到10°C的截止温度,在放电过程中,产生的热量有助于电池保持温暖并继续提供能量,直到电压降至2.4 V .自加热和1C放电期间的温度和电压的详细曲线可在图3b中找到。活化后,电池以1C放电。在放电过程中,由于持续发热,电池温度先下降后稳定上升。当环境温度为-10、-20和-30°C时,FSI和PF6的温度曲线接近,但由于压降较大,PF6完成放电的时间较早。当环境温度降至-40和-50°C时,PF6的放电能量明显低于FSI,这可能是由于极化效应加剧。因此,尽管两种电池的输送能量都随着环境温度的降低而降低,但与PF6相比,FSI能够输送更多的能量,如图3c所示。对于FSI,当引入自加热时,即使环境温度低至-50°C,电池也能提供53.6%的能量,而对于PF6,电池只能提供30.7%的能量。对于需要暴露在极低温度下的电池来说,这是一个很大的改进,因为自加热快速高效。图3d总结了不同环境温度下电池的活化能、解锁能和活化时间。一般来说,随着环境温度的降低,电池被激活需要更长的时间和更多的能量,而解锁的能量变得更小。但是当比较FSI和PF6时,很容易看出FSI在较低的温度下具有明显更好的性能。
【图4】极快充电(XFC)电池的循环寿命。(a)FSI电池和PF6电池在-60℃和22℃环境温度下循环的容量保持率;(b)22℃下电池的充电时间和最大充电电压;循环过程中直流电阻的变化;(d)在-60℃的环境温度下电池充电时间和最大充电电压的变化。
测得的容量和电阻分别被归一化为初始容量和电阻,并相对于循环次数绘制在图4a、c中。对于PF6,其在XFC后经历了严重的容量衰减,在不到200次循环中容量损失超过20%,并且观察到电阻显著增加。从图4b,d中还可以看出,PF6在充电步骤中总是达到截止电压(3.65 V),并且在每次RPT后复位之前的XFC循环期间充电时间不断增加。随着连续循环,充电期间的平均电压变得更高,并且CV步长变得更长,这与DCIR数据一致。在第150次循环中,CV步长变得很长,充电电流最终降至1C以下,这显著增加了充电时间。此外,该电池在循环后有严重的气体产生和膨胀。相比之下,FSI在22°C和-60°C下的循环稳定性要好得多。在-60°C的Tamb下,FSI经历了1000次XFC循环,容量保持率仍超过93.6 %。电池电阻也更加稳定,甚至在第一个100次循环后略有下降,这可能是由于暴露于高温后电池中电解质的润湿性得到改善。观察电压和充电时间,电池没有达到CV值,充电至80% SOC的时间始终为8分钟。XFC期间的最大电压随着循环而增加,但一旦容量重置,最大电压再次下降。对于在22°C下工作的FSI,它具有类似的行为,但在重置容量之前偶尔会达到CV值。这可能是由于每个周期的平均温度较高,导致SEI增长略快。尽管如此,FSI在22°C下测试完成了2500次XFC循环,容量保持率仍超过80%,比PF6高10倍以上。假设车辆的续航里程为200英里,则80%的SOC等于160英里,如果电动车辆每5天充电一次,则XFC循环寿命相当于400 000英里或33年的寿命,这超过了为内燃机车辆提供的保修范围。总体而言,FSI在正常和极低环境温度下的表现都优于PF6。FSI的优异性能源于其固有的更热稳定性LiFSI,具有更高的电导率和更高的Li+迁移数,从而减轻了导致电池严重退化的镀锂和电解质分解。
综上所述,在这项研究中,热调节电池设计与使用单盐LiFSI的市售电解质相结合,将LFP的工作温度范围大幅扩展至令人印象深刻的-50–90°C,超过了大多数真实条件。更值得一提的是,这一进步使LFP能够在所有温度下支持6C快速充电,同时保持出色的循环寿命。在我们厚度为11 mm、重量为218 g的测试电池中,镍箔增加的厚度和重量分别为50微米和3.6 g,因此体积和重量能量密度分别仅改变0.45%和1.65%。将镍箔厚度从25微米进一步减小到10将使这些数值分别缩小到0.18和0.66%。总之,这些结果强调了自加热技术的多功能性,展示了其在不同电极和电解质电池中的通用适应性潜力。这项研究中提出的实验数据希望消除围绕LFP的疑虑,为电动汽车的广泛采用提供动力。
声明: 本网站所发布文章,均来自于互联网,不代表本站观点,如有侵权,请联系删除。




能量密度:125-160Wh/kg
充放电能力:5-10C(20-80%DOD)
温度范围:-40℃—65℃
自耗电:≤3%/月
过充电、过放电、针刺、 挤压、短路、
撞击、高温、枪击时电池不燃烧、爆炸。
动力电池循环寿命不低于2000次,
80%容量保持率;
电池管理系统可靠、稳定、适应性 强,
符合国军标要求。