高温锂离子电池(HLBs)是随钻测井(LWD)设备的重要组成部分,有助于在超深地层中进行数据采集、分析和传输。在深度超过10000米的极端高温条件下,传统电池无法保证LWD作业的可靠供电。此外,用于这些应用的专用电池的开发进展相对缓慢。基于这些考虑,我们提出了一种新的方案:复合固态电解质(CSE)。制备了在350℃以上温度下具有热稳定性的聚醚醚酮(PEEK)纳米纤维膜,并采用真空过滤法制备了Li7La3Zr2O12(LLZO)。在室温下,PEEK-LLZO复合材料的离子电导率为1.11 mS⋅cm-1,在锂-锂对称电池中稳定性可达3500 h。在0.5 C速率下,其初始放电比容量为132.9 mAh/g,循环500次后下降到86.6%。采用密度泛函理论(DFT)模拟了锂离子在CSE系统中的输运机制。值得注意的是,CSE具有良好的热稳定性,性能阈值超过300℃。在250℃时,CSE系统的离子电导率达到2.40 mS/cm,与LLZO系统相比增加了两倍,与LiTFSI熔盐系统相比增加了11倍。此外,在250℃和1 C倍率下,CSE的初始放电比容量为123.3 mAh/g,在50次循环后保持92.8%的容量。这些发现表明,CSE具有高安全性、优异的循环稳定性,在高温锂离子电池中具有相当大的应用潜力。该论文以Polymer-based solid electrolyte with ultra thermostability exceeding 300 ◦Cfor high-temperature lithium-ion batteries in oil drilling industries为题,发表在Nano Energy上。
【创新点】
1、超高温稳定性
该研究开发的PEEK-LLZO复合固态电解质展现出超过300°C的超高热稳定性,这对于在高温环境下工作的HLBs至关重要。这种电解质在室温下具有1.11 mS⋅cm⁻¹的离子电导率,并能在锂对称电池中稳定运行超过3500小时。
2、优异的电化学性能
PEEK-LLZO复合电解质在250°C时的离子电导率达到2.40 mS⋅cm⁻¹,是LLZO系统的两倍,是LiTFSI熔盐系统的十一倍。此外,该电解质在1C倍率下,250°C时的初始放电比容量为123.3 mAh⋅g⁻¹,并在50个循环后保持了92.8%的容量。
3、锂离子传输机制的深入理解
通过密度泛函理论(DFT)模拟,研究团队揭示了CSE系统中锂离子的传输机制。LLZO作为主要的锂离子传输通道,而PEEK中的羰基氧原子则为锂离子提供了吸附和脱附的活性位点。
【图文介绍】
Figure 1:LLZO和PEEK-LLZO膜的表征
该图展示了LLZO的两种相态(四方相和立方相)的SEM-mapping图像,以及通过Rietveld精修XRD图谱确认的立方相LLZO的成功合成。同时,还展示了PEEK-LLZO膜的制备过程、表面形貌和PEEK、LLZO及PEEK-LLZO的XRD与FTIR曲线,证明了PEEK与LLZO的良好结合。
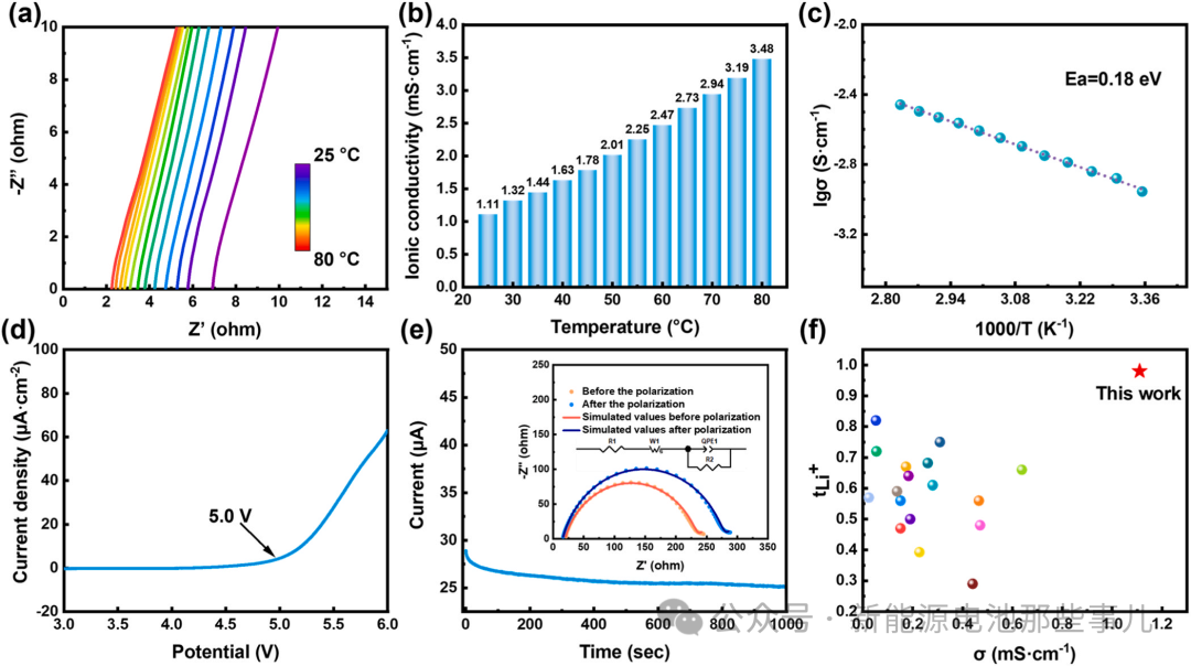
Figure 2:PEEK-LLZO的电化学表征
该图详细展示了PEEK-LLZO在不同温度下的电化学阻抗谱(EIS),并根据阻抗值计算了其在不同温度下的离子电导率。还包括了PEEK-LLZO的Arrhenius曲线、电化学窗口、Li/PEEK-LLZO/Li电池的Li⁺传输数测试曲线,以及与其他CSE系统的离子电导率和tLi⁺的比较。
Figure 3:电池性能
该图展示了PEEK-LLZO电池在不同电流密度下的倍率性能和充放电曲线,以及在0.1C、0.5C和1C倍率下的循环性能。特别地,还包括了Li-Li对称电池的长循环性能,显示了PEEK-LLZO对锂枝晶生长的抑制能力。
Figure 4:电极电解质界面分析
该图通过XPS分析了经过长循环后的锂离子电池的阳极和阴极表面,揭示了SEI和CEI层的组成,主要包含LiF以及Li3N、Li2S、LiOH、Li2CO3和Li2O。这些结果表明,离子液体的加入不仅改善了PEEK-LLZO与电极之间的接触,还参与了SEI和CEI层的合成。
Figure 5:锂离子传输机制
该图通过DFT计算展示了PEEK-LLZO中锂离子在LLZO、PEEK和离子液体中的传输机制和能量障碍。特别是,LLZO作为主要的锂离子传输通道,而PEEK中的羰基氧原子为锂离子提供了吸附和脱附的活性位点。
Figure 6:高温性能
该图展示了PEEK纳米纤维膜和PEEK-LLZO在不同高温下的热稳定性,包括热收缩率和TGA曲线。同时,还展示了PEEK-LLZO在250°C下的电化学性能,包括离子电导率、电池循环性能和放电曲线,以及高温循环后PEEK-LLZO的表面和截面形貌。
声明: 本网站所发布文章,均来自于互联网,不代表本站观点,如有侵权,请联系删除。




能量密度:125-160Wh/kg
充放电能力:5-10C(20-80%DOD)
温度范围:-40℃—65℃
自耗电:≤3%/月
过充电、过放电、针刺、 挤压、短路、
撞击、高温、枪击时电池不燃烧、爆炸。
动力电池循环寿命不低于2000次,
80%容量保持率;
电池管理系统可靠、稳定、适应性 强,
符合国军标要求。